Dimensionality Reduction Techniques in Data Science
Data Science Dimensionality Reduction PCA Random Projections Isomap t-SNE
Dimensionality reduction is an important process in data science, enabling the simplification of high-dimensional data sets while preserving essential information. This blog post explores the application of various dimensionality reduction techniques on the Fashion-MNIST dataset, focusing on Principal Component Analysis (PCA), Random Projections (RP), Isomap, and t-SNE. Each method offers unique insights and challenges in data visualization and classification tasks.
Principal Component Analysis (PCA)
PCA is a linear dimensionality reduction technique that transforms the data into a new coordinate system, with the greatest variance by any projection of the data lying on the first coordinate, known as the first principal component, and so on. By applying PCA to the Fashion-MNIST dataset, I observed a sharp decline in eigenvalues, indicating a high concentration of information in the first few components. The scree plot suggested an ‘elbow’ around the 50th component, guiding the selection for dimensionality reduction.

Visualization and Classification
The visualization of PCA components showed the mean image and the top 10 eigenvectors as images, capturing significant variations in the data. In classification experiments, subspaces of varying dimensions demonstrated that both training and test errors decreased with an increasing number of components, up to a point where improvement plateaued and overfitting began.

Random Projections (RP)
Random Projections offer a computationally simpler alternative to PCA, using a random projection matrix to reduce dimensionality. The experiments showed that while RP might not perform as well as PCA at lower dimensions, its classification error rates become competitive in higher dimensions, highlighting RP’s effectiveness in scenarios with limited computational resources.

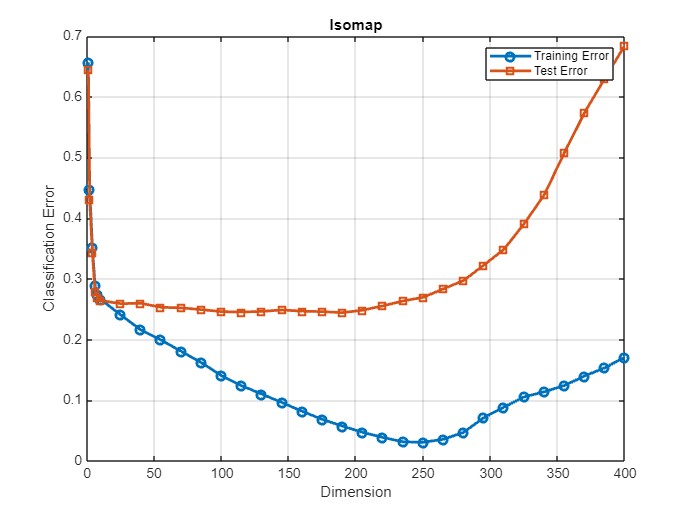
Isomap
Isomap, a non-linear dimensionality reduction technique, focuses on preserving the geodesic distances between points in a lower-dimensional space. Applied to the Fashion-MNIST dataset, Isomap was able to capture non-linear structures in the data, presenting a different pattern of classification error compared to PCA. The k-nearest neighbors graph played a crucial role in the performance of the Isomap algorithm, impacting the classification accuracy significantly.

t-SNE for Visualization
t-Distributed Stochastic Neighbor Embedding (t-SNE) excels in visualizing high-dimensional data in two or three dimensions. The application of t-SNE to the Fashion-MNIST dataset resulted in a scatter plot that distinctly separated most categories, although some overlap was observed. The choice of perplexity significantly influenced the balance between focusing on local versus global aspects of the data.

Conclusion
This study on dimensionality reduction techniques illustrates the importance of selecting the appropriate method based on the nature of the dataset and the specific task at hand. While PCA and Isomap offer robust options for linear and non-linear data sets, respectively, Random Projections provide a viable alternative when computational efficiency is a priority. t-SNE, on the other hand, is invaluable for visualizing complex datasets, allowing for intuitive interpretations of data clustering. As data science continues to evolve, these techniques will remain fundamental in uncovering the underlying structures of high-dimensional data.